Efecto Motor
|
Actividad de Aprendizaje: |
Predice la dirección de la fuerza que actúa
sobre un conductor que transporta corriente eléctrica dentro de un campo
magnético. |
Aunque el efecto motor fue descubierto antes de la fuerza de Lorentz, podemos apoyarnos en ésta para tratar de
explicarlo.
Suponga ahora, que un conjunto de cargas es obligado a moverse
en un medio conductor recto, como se muestra en la figura.

Figura 36. Conjunto de cargas eléctricas moviéndose dentro de un
conductor inmerso en un campo magnético externo.
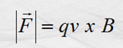
Por cada carga habrá una fuerza F cuyo módulo es:

Donde q es el ángulo entre v y B ; y ya que q = 90º, porque el conductor está perpendicular al vector B ; y sen 90º = 1,
tenemos:

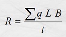
Como todas las fuerzas son paralelas, la resultante es:

Y puesto que la longitud del conductor es L y la velocidad de
las cargas constante en magnitud, v en la ecuación anterior se puede cambiar
por:

Donde “t“ es el tiempo en que las
cargas recorren el conductor; quedando el modelo de la resultante:

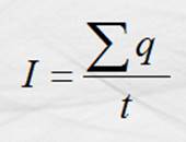
Y tomando en cuenta la definición de corriente

La ecuación nos queda:

Esta última expresión es lo que llamamos efecto motor o ley de
Ampere y físicamente es el efecto que se produce sobre un conductor cuando una
corriente eléctrica circula por él y éste se encuentra en un campo magnético.
También pudiéramos decir que el efecto motor es una fuerza sobre un conductor,
cuyo módulo se calcula con la expresión:

Y su dirección se conoce (para sentido convencional de la
corriente) aplicando la regla de los tres dedos de la mano izquierda o del
tornillo de cuerda derecha.
Características de la fuerza resultante sobre un conductor recto
en base a la dirección del eje del conductor recto dentro del campo magnético:
Si q = (p/2) radianes ( 90º) , lo que significa que el eje del conductor
está perpendicular a las líneas de inducción del campo, la fuerza es
máxima, con un valor de B I L ; Si el
ángulo es 0 radianes = 0º , es decir el eje del conductor está paralelo a las
líneas de inducción del campo, la fuerza es nula, es decir el conductor no se
mueve; por último para un ángulo 0º < q < 90º, la fuerza variará entre
cero y un máximo, parecido a la variación de la función trigonométrica seno, es
decir para ángulos pequeños, la fuerza es pequeña y para ángulos cercanos a 90º
la fuerza crecerá hasta el limite B I L.
0 < F < BIL.