Campo Magnético y Líneas de Inducción
|
Actividad de Aprendizaje: |
Discute las características del campo
magnético y sus líneas de inducción. |
La causa de que dos polos magnéticos se atraigan o rechacen cuando
se acercan sin tocarse es parecida a la del campo gravitacional que nos
mantiene sobre la superficie de
Campo magnético es el espacio
que rodea una masa magnética. El espacio
que rodea a una masa magnética, como el que rodea una masa gravitacional o a
una carga eléctrica, posee un espectro, que en este caso se denomina espectro
magnético y tiene las características siguientes:
1.- Está compuesto de líneas imaginarias, continuas y cerradas.
2.- Las líneas de inducción, teóricamente, salen
del polo norte y entran en el polo sur, cerrando internamente el circuito de
sur a norte.
3.- Las líneas de inducción se acumulan en las cercanías de los polos,
donde es mayor la densidad.
4.- Para cada punto del campo, hay un vector
inducción magnética, B , tangente a la línea de
inducción que pasa por el punto.
5.- Las líneas de inducción no se cruzan.
6.- La inducción magnética en el campo es proporcional a la
densidad de líneas en una región.
Inducción magnética.
La inducción magnética es una cantidad vectorial, semejante a la
intensidad de campo eléctrico en un campo eléctrico, de hecho, se define de
igual forma: “ Es el cociente que resulta de dividir
la magnitud de la fuerza sobre un polo de prueba, localizado en un punto del
campo, entre la magnitud del polo”.
En el campo eléctrico En
el campo magnético

Donde B es la magnitud de la inducción magnética en Tesla
(T). Una Tesla es igual a un Weber entre metro cuadrado ( T
= Wb / m2 ) ó ( T = N / A m ), F es la fuerza en Newton ( N ) y P la
masa magnética ó polo en Ampere metro ( A m ).
Campo eléctrico Campo magnético
Figura 18. Analogía entre campo eléctrico y campo magnético.
La inducción magnética al ser una cantidad vectorial, requiere,
para definirla, decir cuanto vale el módulo y hacia a donde apunta (dirección). Por lo que respecta al módulo se
calcula con la ecuación de la definición y la dirección será la que tenga la fuerza
sobre el polo de prueba.
Haciendo nuevamente una analogía con el campo eléctrico, la
inducción magnética en un punto de un campo magnético se puede determinar en
base a la intensidad de la masa magnética “aislada” puntual que genera el campo
y la distancia de esta al punto considerado, por lo que la magnitud del campo
puede calcularse con el modelo:

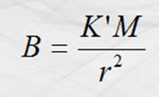
Donde “B” es la inducción en un punto debida a una masa
magnética puntual a una distancia “r” de la masa; “K’ “ la
constante de la ley de Coulomb para el magnetismo siendo igual a 10-7 Wb/
Am ; “M” la masa magnética generadora del campo en Ampere metro; y “r” la
distancia de la masa generadora a el punto considerado.
Por lo que respecta a la dirección de la inducción, ésta
coincidirá con la del movimiento de una masa magnética de prueba colocada en el
punto considerado cuando se aplique la ley de los polos magnéticos.
Esto se muestra en la figura siguiente:



Figura 19. Determinación de la dirección de la inducción magnética.
Si la inducción magnética en un punto es debida a un conjunto de
masas magnéticas puntuales, la inducción magnética total en el punto es igual a
la suma vectorial de las inducciones magnéticas debidas a cada masa.
Matemáticamente:

Ecuación en la que la magnitud se calcula con el modelo
correspondiente y la dirección se determina aplicando la ley de los polos.
A continuación, te invitamos a que realices la siguiente
actividad: