Ley de Coulomb del Magnetismo
|
Actividad de Aprendizaje: |
Examina la fuerza de origen magnético entre
dos polos de un imán. |
Ley de los polos magnéticos:
Polos del mismo nombre se repelen y polos de nombre contrario se
atraen.

Figura 17. Representación gráfica de la ley de polos magnéticos.
Ley de Coulomb del
Magnetismo:
La ley de Coulomb para el magnetismo es semejante a la ley de
Coulomb para
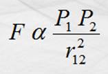
La ley de Coulomb para el magnetismo es experimental y
cuantitativa, es decir nos ayuda a estimar la magnitud de la fuerza entre dos
polos magnéticos independientes y puntuales; esta ley establece que la fuerza
entre dichos polos en el vacío es directamente proporcional al producto de las
magnitudes de las masas magnéticas e inversamente proporcional al cuadrado de
las distancias que las separa. El modelo matemático propuesto es:

Manejando ésta como una ecuación, tenemos:

en la que
K’ es la constante de proporcionalidad y
en el S. I. tiene un valor de 10-7 Wb / A m ó 10-7
N / A2 ; P representa la masa magnética, que en el S. I. se mide en
Ampere metro ( A m ); y “r” es la
distancia entre los polos magnéticos mencionados, midiéndose en metros.
Fuerza magnética de un
conjunto de polos magnéticos “independientes y puntuales” actuando sobre un
polo:
Si se tiene un conjunto de polos magnéticos formando un sistema,
la fuerza resultante sobre cualquier polo involucrado en el sistema ó que
interaccione con el sistema, se puede determinar aplicando la ley de Coulomb y
el principio de superposición, considerando, al aplicar este último que la
fuerza es una cantidad vectorial y como tal debe sumarse.
Uso del modelo del principio
de superposición
Para cualquier fuerza resultante de un conjunto de polos
magnéticos independientes y puntuales sobre un polo que se ha denominado P1
tenemos por principio de superposición

en la que
cada término se calcula aplicando la ley de Coulomb.