Circuito Magnético
|
Actividad de Aprendizaje: |
Compara un circuito magnético
con un circuito eléctrico, y así establecer la “Ley de Ohm para un circuito
magnético”. |
El circuito magnético se encuentra en los lugares donde se
presente un flujo magnético, digamos un imán, un solenoide, un electroimán, un
toroide, un motor, un generador un transformador eléctricos, las inmediaciones
del planeta en que vivimos, etc.
El circuito magnético como su nombre lo indica es una
trayectoria cerrada en la que se encuentra confinado un flujo magnético. Es un
medio o está formado por un conjunto de medios donde se localiza un flujo
magnético cerrado. Estudiamos éste porque el conocimiento de su comportamiento
nos ayudará a entender mejor como funcionan los motores, generadores y
transformadores eléctricos, conduciéndonos a hacerlos más eficientes.
El circuito magnético elemental, semejante al eléctrico, está
compuesto de:
1.- Un medio donde circula el flujo producido por una fuerza magnetomotriz: este medio recibe el nombre de reluctancia
(R), cantidad que se puede definir como la oposición que presentan los
materiales a la circulación del flujo magnético en su interior, su unidad de
medición es el A/Wb y corresponde en el circuito eléctrico con la resistencia .
2.- Una fuerza magnetomotriz (fmm) productora del flujo magnético en la reluctancia, ésta
corresponde en el circuito eléctrico con la fuerza electromotriz (fem), es decir causa el flujo magnético y tiene como unidad
al Ampere ò Ampere-vuelta.
3.- El flujo magnético ( F ) en el interior de una reluctancia
que aparece cuando se aplica a ésta una fmm, en el
circuito eléctrico corresponde con la
corriente eléctrica y su unidad es el Weber.
Analogías:
Concepto Circuito Eléctrico Circuito Magnético
Causa fem fmm
Efecto Corriente
Flujo
Medio Resistencia Reluctancia
En el circuito eléctrico elemental se puede controlar la
corriente para que al pasar por una resistencia produzca más o menos calor; de
manera semejante, la fuerza magnetomotriz, en el
circuito magnético, se controla para producir mayor o menor flujo y este a su
vez mayor o menor magnetismo, para utilizar éste último en un dispositivo en
estudio.
La relación matemática entre la fuerza magnetomotriz,
la reluctancia y el flujo se obtiene del estudio del anillo Rowland
(toroide).
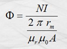
Suponga un toroide con núcleo de hierro al que se suministra una
corriente eléctrica en el devanado; esta corriente eléctrica produce en el
interior del núcleo un flujo perpendicular a cualquier sección transversal del
toroide, cuyo modelo matemático es:

en la que B
es la inducción magnética para un toroide en Tesla, cuyo modelo matemático es:

y A el área
interior transversal en metros cuadrados.
Sustituyendo 2 en 1 tenemos:

Reacomodando la ecuación 3.

Haciendo la consideración que 2 p rm
es la longitud del toroìde , denominada L, nos queda:

Y al compararla con la ley de Ohm tenemos

Por lo que NI es semejante a la fuerza electromotriz y
corresponderá con la fuerza magnetomotriz, fmm ;
es equivalente a la
resistencia por lo que corresponderá a
la reluctancia, R ; y F igual a I , por lo que será el flujo.
Así otra expresión es:

Por tal semejanza podemos enunciar la ley de Ohm para el
circuito magnético como sigue:
“El flujo magnético en el
interior de un circuito magnético elemental, es directamente proporcional a la
fuerza magnetomotriz e inversamente proporcional a su
reluctancia.”
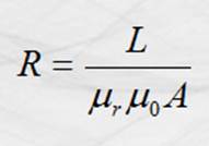
En la última ecuación notamos que la reluctancia depende de
cantidades mecánicas como el área y la longitud, además de su naturaleza como
se puede observar en la expresión:

y en cuanto
a unidades tenemos:

Agrupamiento de reluctancias
Los circuitos magnéticos no siempre son simples, como el de un
toroide con núcleo y devanado uniformes. Los circuitos magnéticos pueden
agrupar reluctancias en serie o en paralelo, como los mostrados en las figuras
siguientes:
Circuito serie:

Figura 50. Circuito serie de reluctancias.
El flujo de cualquier reluctancia en una conexión serie es el
mismo.

La reluctancia total de un conjunto de reluctancias en serie es
igual a la suma de las reluctancias
conectadas.

Circuito paralelo:

Figura 51. Circuito paralelo de reluctancias.
El flujo total de un agrupamiento de reluctancias en paralelo
debido a una fuerza magnetomotriz es igual a la suma algebraica
de los flujos en las ramas

Por ejemplo, para el caso de la figura anterior

La reluctancia total del agrupamiento, como en el agrupamiento
de resistores, es igual a la inversa de
la suma de las inversas de las reluctancias individuales,
