Ley de Inducción de Faraday
|
Actividad de Aprendizaje: |
Describe el proceso de la
inducción electromagnética. |
Hans Christian Oersted descubrió que las corrientes eléctricas
producen campos magnéticos. Entonces, en
1820, los científicos se preguntaban si el fenómeno inverso sería posible, es
decir, ¿los campos magnéticos pudieran producir corrientes eléctricas? Las
investigaciones llevadas a cabo durante los 11 años siguientes no mostraron que
esto fuera posible. Fue hasta 1831 cuando en trabajos independientes, del
científico inglés Michael Faraday y el ruso Heinrich Lenz encontraron lo que
por once años buscaron, se podían producir corrientes eléctricas en el interior
de un conductor, si con éste se cortaban las líneas de inducción de un campo
magnético, o haciendo variar el flujo de un campo en el que se encontrara un conductor. La
figura siguiente nos muestra la primera forma de producir una corriente
eléctrica.

Figura 52. Conductor recto cortando líneas de campo magnético.
El movimiento de cargas en el interior de los conductores sólo
se presentaba si habían dos causas simultáneas; uno, el movimiento relativo entre el campo y el
conductor, ya sea que se moviera uno, el otro o ambos; y dos que el conductor
durante el movimiento cortaba las líneas de inducción del campo. Si uno no se
cumplía, no había fem.
A la acumulación de carga en los extremos del conductor se
le llamó fuerza electromotriz inducida,
abreviado femi. Y su relación matemática fue
establecida como:

que como ya sabemos, B
representa la inducción del campo medida en Teslas; L la longitud del conductor
expresada en metros ; v, la rapidez del conductor al cortar las líneas de
inducción , en metros sobre segundo ; y q el ángulo entre el eje longitudinal
del conductor y las líneas de inducción del campo , en radianes o grados.
La deducción de la ecuación anterior se presenta enseguida y es
una muestra de la ley de la conservación de la energía, durante el fenómeno de
conversión, de energía mecánica a eléctrica,
Considere un conductor en forma de “U”, como el mostrado en la
figura siguiente, dentro de un campo magnético y unido a éste, otro deslizable
que cierra el circuito,

Figura 53. Conductor recto deslizándose sobre un conductor en
forma de U.
Al mover el conductor deslizable hacia la derecha una distancia ds, se presenta una corriente convencional en el conductor
hacia arriba, al deslizarse las cargas verticalmente producen un efecto motor
en dirección contraria a la fuerza inicial. El efecto motor se determina con la
expresión

Para mantener el movimiento y continuar cortando las líneas de
inducción del campo será necesario continuar aplicando la fuerza F, hacia la
derecha.
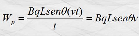
La fuerza hacia la derecha al desplazar el conductor móvil una
distancia ds, efectúa un trabajo mecánico promedio
cuya expresión es:

Como el movimiento del conductor lo consideraremos a velocidad
constante,
y por tanto
. Así si sustituimos la última ecuación en la de la energía nos
queda:

Por otra parte, sabemos que I se puede sustituir por
, de la definición de intensidad de corriente, haciéndolo en la ecuación
anterior, tenemos:

Dividiendo ambos miembros de la ecuación entre q, nos queda:

Considerando la definición de potencial eléctrico y que la femi es
semejante a un potencial eléctrico, finalmente la ecuación nos queda:

El subíndice “i” significa inducida.
La femi al depender del seno del
ángulo q , nos indica que si el conductor
corta las líneas del campo perpendicularmente (q=90º), la femi
es máxima; que si el ángulo entre el conductor y las líneas de inducción es cero
grados, el conductor se mueve paralelo a las líneas de inducción, no cortando
ninguna, por lo que la femi es nula; y si 0 < q <90º , la femi
es : 0 < femi
< B L v.
Regla de la mano derecha para
conocer la dirección de la corriente en el interior del conductor que corta el
campo en un generador:
Esta regla tiene como objeto conocer el movimiento de la carga
eléctrica positiva localizada en el interior de un conductor, cuando éste se
mueve cortando las líneas de inducción de un campo; y a la
vez conocer la polaridad de las terminales del conductor o polaridad de la femi. El movimiento de la carga produce, como ya lo vimos,
una acumulación de carga del mismo signo en uno de los extremos del conductor y
acumulación de carga de signo contrario en el otro, ocasionando así una femi. La figura a continuación muestra como se colocan los
dedos de la mano derecha y que relación tiene cada dedo con las cantidades
involucradas en el fenómeno de la inducción electromagnética.

Figura 54. Regla de la mano derecha para conocer la dirección de
la corriente en el interior del conductor que corta el campo en un generador.
Al fenómeno mencionado se le denomina inducción electromagnética; y es un fenómeno que propiamente se
caracteriza por la generación de una fem en los
extremos de un conductor que se encuentra en un campo magnético variable.
Prácticamente, la femi también puede obtenerse
moviendo un imán en las inmediaciones de un conductor o viceversa, con la
condición de que el conductor corte las líneas de inducción, como se muestra en
la figura a continuación.

Figura 55. Un imán acercándose y alejándose de una bobina
produce una femi.
La polaridad de la femi en la bobina
depende de la dirección de movimiento del imán.
Otra forma de lograr la femi, es
colocando un conductor en el campo de un solenoide, en el que circula una
corriente de corriente alterna (C. A.). La ilustración muestra la femi.

Figura 56. Una bobina alimentada con C.A. produce una femi en otra bobina cercana.
Una manera más de hacerlo es alimentando al solenoide con
tensión de corriente directa con intervalos de tiempo cortos; corriente directa
pulsante o al instante de encender o apagar la fuente.

Figura 57. Al conectar y desconectar la fuente de corriente
directa (C. D.) en la bobina de la derecha se induce una femi
en la bobina de la izquierda.
Ley de Faraday:
Michael Faraday pretendiendo conocer si los campos magnéticos
producían corrientes eléctricas, experimentó y descubrió que se puede obtener una femi
en los extremos de un conductor que se encuentre en el interior de un campo
magnético, si el flujo del campo magnético varía con el tiempo. Descubrió
también que para aumentar la femi sólo se requería
aumentar o multiplicar el tamaño del conductor: de modo que expresó
matemáticamente su descubrimiento como sigue:

Donde N representa el número de espiras del conductor si está
embobinado y es una cantidad adimensional: Df es la variación del flujo magnético en Weber para el S. I.: femi es la fuerza electromotriz inducida en Volt; y Dt es el tiempo en que se dio la variación del flujo en segundos.
A
se le denomina rapidez
de variación del flujo en Volt o
Weber/segundo.
La figura a continuación ilustra el descubrimiento de Faraday,
ya que al desplazar el conductor móvil, el área A1 aumenta a A2 ; y
como se nota, por A1 atraviesa un flujo de 4 líneas de inducción y
por A2 atraviesan 10, de modo
que tiene una Df en un intervalo Dt ; en ese intervalo y solamente en ese
intervalo se podrá medir una femi con un voltímetro.

Figura 58. La variación de flujo magnético en un circuito es
capaz de generar una femi.
La ley de Faraday se puede enunciar como sigue: “La femi en los
extremos de un conductor localizado en el interior de un campo magnético es debida
a la variación del flujo del campo en el intervalo de tiempo en que se presenta
dicha variación”.