Ley de Lenz
|
Actividad de Aprendizaje: |
Infiere la polaridad de una fem inducida mediante la ley de Lenz. |
Heinrich Lenz, estudiando independientemente el mismo fenómeno
que Faraday, descubrió la naturaleza de la femi. Es decir que la femi
cambia de polaridad dependiendo de la dirección del movimiento relativo entre
un imán y una bobina ó la dirección de variación del flujo; lo que expresó en
el enunciado siguiente: “La femi es de tal naturaleza que se opone a la causa que la
produce”. Dicho de una forma práctica, si la causa de una femi en los extremos de una bobina es el acercamiento del
polo norte de un imán; y si cortocircuitamos la bobina, la femi
producirá en la bobina una corriente tal que produzca un polo norte en el extremo
donde se acercó el polo norte del imán. El polo norte en un extremo de
la bobina rechazará el acercamiento del polo norte del imán, por lo que al
tender a detenerse el imán, la femi cesará.
A continuación ilustramos la femi
cuando se acerca un polo de un imán y cuando se aleja. Cuando se acerca aparece
en la bobina un polo de igual nombre y cuando se aleja aparece un polo de
nombre contrario, ocasionando una fuerza de repulsión y una de atracción
respectivamente.

Figura 59. Polaridades contrarias de la femi
en una bobina cunado se le acerca o aleja un imán.
Otro ejemplo a citar es
el siguiente: Si la femi en una bobina
cortocircuitada se debe a la disminución del flujo en el campo en el que está
la bobina, la femi en la bobina cortocircuitada es
capaz de producir una corriente inducida y ésta a su vez un flujo en dirección
del original, que contrarreste la disminución, sólo en el intervalo de tiempo
en que se produjo ya reducción: y viceversa, si el flujo original aumenta, la
corriente inducida produce un flujo en sentido contrario para reducir el
aumento, sólo en el intervalo en que se da el aumento.
A continuación se ilustra lo escrito.

Figura 60. La disminución del flujo inicial en la bobina de la
izquierda produce un nuevo flujo que se opone al cambio.
En la primera figura hay un flujo en cierto instante; en la
segunda el flujo se reduce dos líneas de inducción (en rojo), por lo que la
fuerza electromotriz en la bobina genera un
corriente inducida que a la vez produce dos líneas (en azul) en la misma
dirección de las desaparecidas, tendiendo, con esto mantener el flujo al mismo
valor.
Por otra parte, la figura a continuación muestra un flujo en un
instante.

Figura 61. El aumento del flujo magnético en la bobina de la
izquierda produce un nuevo flujo que contrarresta el cambio.
La segunda figura muestra el aumento (líneas en rojo) de flujo
original y la aparición de flujo inducido (líneas en azul) para reducir el
aumento.
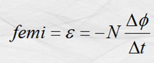
La expresión de la ley de Lenz es semejante a la de Faraday, con
la diferencia de una signo menos que se antepone al segundo miembro de la
ecuación, lo que significa que si se tiene una variación de flujo positiva, se
produce cierta femi y si la variación es negativa, el
signo causa que la femi invierta su polaridad.
