Generadores de C.A. y C.D.
|
Actividad de Aprendizaje: |
Explica el proceso de
generación de electricidad por inducción electromagnética. |
El generador eléctrico es un transductor de energía mecánica a energía
eléctrica. Se compone fundamentalmente de una bobina de conductor eléctrico
enrollada en un núcleo de material ferromagnético, de baja remanencia
suspendida de modo que pueda girar con libertad dentro de un campo magnético
uniforme proporcionado por imán o electroimán
El generador elemental de femi funciona en base al principio de
inducción electromagnética. Recordando, este principio consiste en que cuando
un conductor corta las líneas de inducción de un campo magnético, en las
terminales del conductor aparece una fuerza electromotriz inducida.
La femi es función de la velocidad angular de corte de las
líneas de inducción, w , medida en radianes entre segundo , la intensidad de la
inducción magnética del campo B, en Tesla; del área de la bobina , en metros
cuadrados: del número de vueltas de la bobina N, adimensional ; y del seno de
alfa , ángulo que forman las líneas de inducción del campo y el vector área A,
perpendicular al área de la bobina, medido en radianes o grados; tal como se
muestra en la ecuación siguiente.

Deducción de la ecuación
, a partir de la femi máxima en un conductor recto.
Supongamos que la espira de la figura siguiente gira en
dirección de las manecillas del reloj y que el sector “a” corta hacia abajo las
líneas de inducción. Supongamos también en cualquier posición el sector
“a” forma un ángulo q = 90º con las líneas de inducción, por lo que sen 90º = 1 , de modo que la intensidad de la femi en el mismo es :

Figura 62. Espira de alambre girando en el interior de un campo
magnético.
y la polaridad
que se tiene aplicando la regla de la mano derecha es la que se muestra en la
figura.
Si consideramos de igual forma el sector “b” ,
la magnitud de la femi es

de polaridad
contraria a la del sector “a” porque se mueve hacia arriba en el mismo campo.
Considerando ambas fuerzas electromotrices de polaridad contraria, en las
terminales de la espira tendremos una femi total igual a :

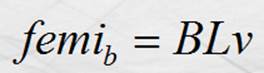
Como cada sector referido está girando en una trayectoria
circular de radio r y con una rapidez angular w, la rapidez tangencial es igual a :

de modo que
sustituyendo v en la ecuación anterior tenemos:

y ya que
geométricamente el producto 2Lr es el área de la espira, cambiando tenemos:

Ahora, si en lugar de tener una espira tenemos una bobina de “n”
espiras o vueltas, la femi total se multiplica por “n”, quedando la femi en una
bobina igual a:

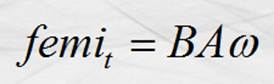
El modelo obtenido es la femi para una posición de la bobina que
gira dentro del campo, de hecho es la máxima que se puede obtener, porque en
esta posición la bobina corta todas las líneas del campo, si queremos conocer
el modelo de la femi para cualquier posición, se requiere multiplicar el modelo
de la femi máxima por el seno de alfa, en el que alfa es el ángulo que forman
la normal al área de la bobina ( Vector A ) y el vector inducción magnética del
campo B, para que el modelo quede:

Por ser la femi dependiente de la función seno, se infiere que
cuando a= 0 , la femi es nula; y que cuando a= 90º , la femi es máxima,
; para
cualquier otro valor de alfa, 0 < a < 90º, la femi variará así ; 0
< femi < BAwN, lo que se ilustra a continuación:

Figura 63. Femi nula y máxima en una
bobina giratoria.
Los generadores eléctricos son de corriente alterna (C. A.) y de
corriente directa (C. D.). Se
diferencian, por la forma de entregar la femi al circuito externo, pues
mientras el de C. A. lo hace a través de un dispositivo llamado colector o anillos rozantes
(2), uno en cada terminal de la bobina;
el generador de C. D. lo hace por medio de un dispositivo llamado conmutador,
compuesto por un anillo partido a la mitad y cada mitad conectada en una
terminal de la bobina. Durante una vuelta, en el generador de C. A., cada
anillo rozante hace contacto permanente con cada
escobilla; mientras que, en el de C. D., cada medio anillo del conmutador,
hacen contacto sólo 180º con una escobilla y 180º con la otra.
El contacto permanente de los anillos rozantes,
conduce a que la femi en cualquiera de las terminales sea continua y de forma senoidal, con alternancias positivas y negativas, como se
muestra en la figura siguiente:

Figura 64. Femi eficaz en un voltaje
alterno.

Figura 65. Generador de corriente alterna (C.A.)
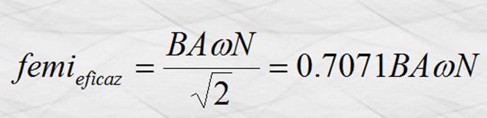
Como la femi tiene una infinidad de valores en una vuelta y el
valor promedio de la gráfica es cero, se busco un valor significativo para
saber de la efectividad de todos los valores de la femi, este valor se denomina
valor raíz cuadrático medio o valor eficaz,
y su efecto calorífico sobre una carga patrón, es el mismo que produce una fuente de
alimentación de corriente continua del mismo valor que el eficaz aplicada a la
misma carga.
El valor eficaz se refiere al valor máximo mediante el modelo
matemático siguiente:


Figura 66. Generador de corriente directa (C.D.)
El contacto del medio anillo con una escobilla durante 180º y
del otro medio anillo por los otros 180º para completar una vuelta, nos entrega
en la escobilla referida una femi que tiene la gráfica siguiente; y en la otra
escobilla la otra gráfica .


Figura 67. Femi en escobillas durante
una vuelta.
Igual que en el generador de C. A., la femi en el de C. D. tiene
muchos valores y para conocer la efectividad del generador en una vuelta se
requiere sumar todos ellos, tomando en cuenta la forma de la onda, sumados, se
ha encontrado que el valor promedio de ellos es igual a :

referido
como el caso anterior al valor máximo.
Este valor promedio tiene el mismo efecto calorífico sobre una
resistencia patrón que el que tiene una femi de corriente continua del mismo
valor que el promedio.
Ve con atención el video siguiente:
|
Crestomatía: Segmento tomado de la serie "El Universo
Mecánico", producida por: Instituto Tecnológico de California y Annenberg
/ CPB Project. |