Transformador Eléctrico
|
Actividad de Aprendizaje: |
Reconoce los distintos tipos
de transformadores elementales y su aplicación. |
El transformador eléctrico es una máquina electromagnética que
se usa para aumentar o disminuir una fuerza electromotriz (Potencial, tensión
eléctrica o voltaje); también se puede usar para aislar eléctricamente un
circuito. Está compuesto de dos embobinados independientes (devanados) en un
núcleo de aire o material electromagnético. Su principio de funcionamiento es
la inducción electromagnética y sólo funciona con C. A. o corriente directa
pulsante. A continuación se muestran algunos símbolos:

Figura 68. Tipos de transformadores.
Devanado Primario: Se llama devanado primario al embobinado que recibe la fem de corriente alterna que se quiere aumentar o
disminuir.
Devanado Secundario: Recibe este nombre la bobina que proporciona el potencial transformado a una carga.
Transformador de Subida: Se denomina así al transformador que aumenta la fem aplicada en el primario, e1, también se le conoce como elevador. La razón de vueltas de
secundario a primario (
) es mayor que 1, es
decir, el embobinado secundario tiene más vueltas que el primario.
Transformador de Bajada: Conocido también como reductor disminuye la fem
aplicada en el primario e1, la razón de vueltas de
secundario a primario (
) es menor que 1, es
decir, el embobinado secundario tiene menos vueltas que el primario.
Transformador de Aislamiento: Este no modifica la intensidad de la fem
suministrada al primario, se usa solamente para aislar eléctricamente un
circuito.
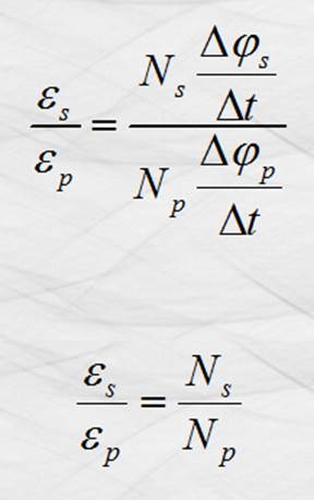
Relación entre fuerzas electromotrices de entrada y salida de un
transformador y la relación de vueltas entre primario y secundario:
La elevación o reducción de una fem
puede calcularse con la relación aritmética

En la que ep es la fem
suministrada al primario, en volt; es es la fem
transformada y obtenida en el secundario, en volt; y
la razón de vueltas entre
el secundario y el primario, cantidad adimensional; el resultado de esta división indica cuantas
veces varía la magnitud de la fem aplicada al
primario.
Físicamente, la transformación se efectúa porque al alimentar
una fem de C. A. al primario de un transformador, se
produce una corriente alterna variable en magnitud y polaridad, lo que provoca
en el núcleo un flujo variable que aumenta senoidalmente
en una dirección, se reduce hasta desaparecer; aumenta en dirección contraria
hasta un máximo y se vuelve a reducir hasta anularse; repitiéndose esto
periódicamente. La variación del flujo en el núcleo induce una femi en el
primario y otra en el secundario, que de acuerdo con la ley de Faraday, en
magnitudes son iguales a:

Dividiendo ambas ecuaciones y tomando en cuenta que la rapidez
de flujo que atraviesa las bobinas es la misma, tenemos:

La ecuación anterior también se le conoce como la ecuación del
transformador.
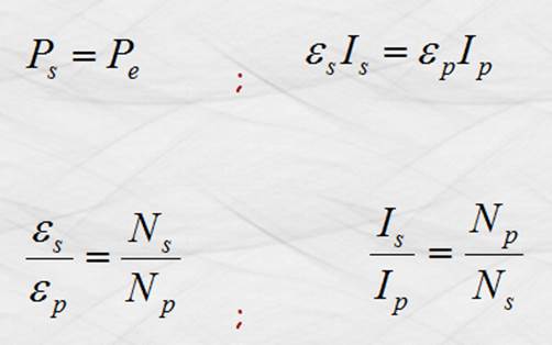
Transformador Ideal:
El transformador ideal es aquel que pasa íntegramente la
potencia eléctrica suministrada del primario al secundario.
Sus ecuaciones para calcular potencia eléctrica, fuerzas
electromotrices, corrientes y número de vueltas de las bobinas son las
siguientes.

En la que Is= corriente en
el secundario; e Ip = corriente en el
primario.
La ecuación
indica que si la fem del secundario es mayor que la del primario, caso del
transformador de subida, la corriente en secundario se reduce para mantener la
potencia constante. Sucede también esto para el transformador de bajada, si se
reduce la fem, la corriente aumenta.
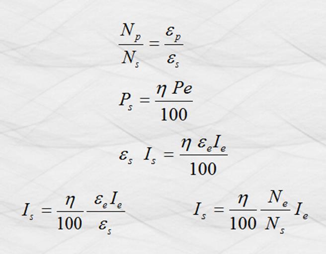
Transformador Real:
En el transformador real , la potencia obtenida en el secundario
es menor que la suministrada al primario,
, debido a las perdidas de ésta en el núcleo y en los
devanados. Las causas de pérdida de potencia por calentamiento son: Histéresis,
Efecto Joule o Corrientes de Foucalult.

Figura 69. En un transformador real, la potencia en el secundario
es menor que en el primario.
A la relación entre la
potencia de salida y la de entrada se le denomina eficiencia (h) del transformador, matemáticamente:

Como se nota, h es un número que muestra
que por ciento de potencia es la potencia de salida de la de entrada. Ejemplo,
si h es 80%, indica que de la potencia de entrada solo se utilizan
80 de 100 unidades, las restantes se pierden en las formas mencionadas. Hecha
esta aclaración, las ecuaciones para calcular potenciales, corrientes o
potencias quedan:

Pérdidas de Energía por
Corrientes de Foucault:
El transformador funciona en base a las variaciones de flujo,
éstas se presentan en el núcleo de material ferromagnético; considerando esta
función, por ley de Faraday deducimos que entre dos puntos del núcleo se induce
una fem, la que causa en el material una corriente
denominada de Foucault. La corriente en el núcleo es grande debido a la
resistencia pequeña del conductor
(resistencia del núcleo) en que se presenta; lo que provoca un desprendimiento
grande de calor por efecto Joule. Para reducir el calor, los núcleos se
laminan, aumentando, de esta forma la resistencia del material ferromagnético
con la reducción del área y por consecuencia la disminución de la corriente y
el calor.


Figura 70. En un núcleo laminado se reducen las corrientes de Foucault.
Pérdidas de Calor por Efecto
Joule en los Devanados:
Sabemos que cuando circula corriente por un conductor, éste se
calienta por la gran cantidad de choques entre las cargas al moverse. El
aumento de corriente en él es causa directa del calentamiento por efecto Joule.
Pérdidas de Energía por
Histéresis:
La variación del flujo en el núcleo de un transformador hace que
éste se imane y desimane periódicamente conforme varía la frecuencia de
variación del flujo, dando lugar a un ciclo de histéresis. Se ha comprobado que
el área envuelta por el ciclo de histéresis es proporcional al calentamiento
del núcleo, motivo por el cual, para reducir las perdidas por histéresis, se
escogen para construir transformadores, materiales cuya área interna en el
ciclo de histéresis sea muy reducida. El hierro dulce o el hierro al silicio
cumplen adecuadamente con esta condición.

Figura 71. Ciclo de Histéresis.
Aplicaciones de los
Transformadores:
Entre las mucha aplicaciones de los transformadores se encuentra utilizarlos
como: Soldadores eléctricos, relevadores ó relés; calentadores; formando parte
de eliminadores de baterías y su aplicación original, elevadores de tensión
para transmitir energía eléctrica a grandes distancias a costo bajo.
Como soldadores se pueden utilizar transformadores de subida o
de reducción, en los dos casos las corrientes intensas producidas al cerrar el
secundario del transformador, directa o indirectamente, llegan a fundir un
metal con otro.
Por lo que respecta al uso como calentadores de agua, un
transformador reductor es capaz de aumentar la temperatura de un fluido, si
éste pasa por el secundario del transformador o se deposita de alguna forma, ya
que la corriente en este devanado es muy grande.
Con el advenimiento de la electrónica, el uso de los
transformadores se ha incrementado debido a que los circuitos electrónicos usan
bajas tensiones para su alimentación y consumen grandes cantidades de corriente
para sus funciones, siendo esto propio para el uso de transformadores de
bajada.