Fuerza entre Conductores
|
Actividad de Aprendizaje: |
Explica la atracción y repulsión entre
conductores paralelos con corriente. |
Debido al campo magnético asociado a cargas en movimiento,
localizadas en conductores eléctricos paralelos, éstos se acercan o se
rechazan, fenómeno que se aprovecha entre otras aplicaciones para definir la
unidad de corriente eléctrica en el S. I., el Ampere.
Veamos la dirección de las fuerzas sobre dos conductores cuando
transportan corrientes en el mismo sentido.
Correspondiendo con la figura siguiente, se tiene un conductor
recto con corriente I1 y un campo asociado B1 en el punto
“p”, por donde pasa un conductor 2, con corriente en la dirección mostrada en
la figura siguiente. La dirección del campo en “p” se conoce aplicando al
conductor 1 la regla de la mano derecha.

Figura 39. Regla de la mano izquierda aplicada al conductor 2.
Como en el punto “p” hay un campo y por él pasa un conductor con
corriente, podemos determinar, aplicando la regla de la mano izquierda, ya
mencionada, la dirección de la fuerza que actúa sobre el conductor 2. La fuerza
mostrada en la figura anterior muestra que el conductor 2 es atraído por el
conductor 1.
En la figura siguiente, se sigue el mismo procedimiento para
mostrar que el campo de la corriente en el conductor 2, que pasa por donde está el conductor 1, tiene
tal dirección que atrae a este último.

Figura 40. Regla de la mano izquierda aplicada al conductor 1.
Finalmente, la ilustración a continuación, muestra las fuerzas de atracción
entre conductores eléctricos, rectos, paralelos, con corrientes en la
misma dirección

Figura 41. Fuerza de atracción entre dos conductores paralelos
que transportan corrientes eléctricas en el mismo sentido.
Ahora, veamos la dirección de las fuerzas sobre dos conductores
cuando transportan corrientes en sentidos contrarios.
Siguiendo igual procedimiento que para mostrar la fuerza de
atracción entre dos conductores paralelos con corrientes en la misma dirección.
Mostramos a continuación la dirección de la fuerza en el conductor 2 dentro del
campo magnético del conductor 1.

Figura 42. Regla de la mano izquierda aplicada al conductor 2.
Ahora, la fuerza en el conductor 1 dentro del campo del
conductor 2

Figura 43. Regla de la mano izquierda aplicada al conductor 1.
Concluyendo, se muestran las fuerzas de repulsión en los
conductores paralelos que transportan corrientes en sentidos contrarios.

Figura 44. Fuerza de repulsión entre dos conductores paralelos
que transportan corrientes eléctricas en sentido contrario.
De las deducciones anteriores podemos establecer una regla:
“Dos conductores rectos paralelos, que
transportan corriente en un mismo sentido se atraen y si lo hacen en sentidos
contrarios se rechazan”.
La magnitud de la fuerza en cada conductor se deduce de la
figura inicial de la manera siguiente:
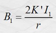
Sabemos que el conductor 1 produce una inducción magnética en el
espacio del conductor 2 que tiene la expresión:

Y que por efecto motor la fuerza en el conductor 2, por estar el
campo del conductor 1, es:

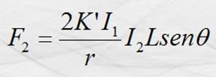
Sustituyendo en la última ecuación el equivalente de B1,
tenemos:

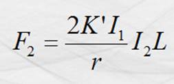
y como el
ángulo entre B1 y el conductor recto es 90º, nos queda finalmente:

Aunque la fuerza se dedujo para el conductor 2, la fuerza en el
conductor 1 es semejante en magnitud.
Como los conductores son muy largos, es más común hablar de la
fuerza por unidad de longitud de estos conductores por lo que la expresión
queda:

Definición de ampere:
“Cuando por cada metro de longitud de dos conductores con
corriente, rectos, paralelos, colocados en el vacío, separados un metro, se
mide una fuerza de 2 x 10-7 N, se dice que la corriente en los
conductores es de un Ampere (1 A). Este enunciado puede considerarse la
definición del Ampere, unidad de corriente en el S. I. Esta es la cuarta unidad
fundamental en el S. I. A continuación se ilustra la definición.

Figura 45. Esquema del experimento que permite hacer la
definición de la unidad fundamental de corriente eléctrica (el ampere).