Galvanómetro, Amperímetro y Voltímetro
|
Actividad de Aprendizaje: |
Ilustra la aplicación del momento magnético
en la construcción de instrumentos de medición. |
Una de las aplicaciones del momento mecánico de una bobina
dentro de un campo magnético es el galvanómetro.
Un galvanómetro es un dispositivo mecánico- electromagnético
capaz de medir corrientes tan pequeñas como un micro ampere, se dice que es el
caso del galvanómetro D’Arsonval usado en
laboratorios de Física bien equipados.
En cuanto a su construcción los galvanómetros son muy variados,
aunque usan el mismo principio de funcionamiento que es la interacción de
campos magnéticos, generados por un imán y una corriente o por dos corrientes.
El más empleado es el de
cuadro móvil que consiste en una bobina suspendida libremente dentro de un
campo magnético uniforme. Unida a la bobina se encuentra una aguja ligera, que
se desplaza sobre una escala graduada proporcionalmente conforme a la corriente
que circula por la bobina.
El galvanómetro también es capaz de medir tensión eléctrica pero
muy pequeña.
Características eléctricas
importantes de los galvanómetros:
Resistencia eléctrica de la bobina, también denominada
resistencia del galvanómetro, Rg.
Sensibilidad, Ig . Corriente suficiente para que la aguja del galvanómetro
se desplace toda la escala.
Diferencia de potencial en las terminales, necesaria para hacer que la aguja se desplace
toda la escala, Vg.
Advertencia:
En la conversión de galvanómetros a voltímetros o amperímetros
procure no exceder los valores de Ig o Vg
aplicados.
Voltímetro:
Un voltímetro es un aparato de medición usado para conocer
potencial eléctrico, diferencia de potencial o fuerza electromotriz.
En base a un galvanómetro, un voltímetro se forma conectando al
primero un resistor, Rm , en serie, generalmente de una resistencia
grande en comparación con Rg. Ver
ilustración.

Figura 46. Diagrama eléctrico de un voltímetro.
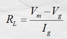
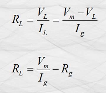
RL, también conocida como resistencia limitadora,
porque limita la corriente en el galvanómetro, haciendo que la mayor parte de
la diferencia de potencial a medir caiga en ella. RL es proporcional
a Rg y se puede calcular con la expresión:

En la que Vm es la tensión
a medir a plena escala. La ecuación anterior se deduce del circuito de la
figura del voltímetro como sigue:

Por estar Rg y RL
en serie

También del circuito serie tenemos:

Sustituyendo 2 y 3 en 1,
nos queda:

Nota: Se hace la observación que RL es una
resistencia que depende de las característica del galvanómetro y la tensión a
medir.
Nota: Al intentar medir una
tensión eléctrica, los voltímetros se conectan en paralelo con el elemento del
que se quiere conocer la tensión.
Amperímetro:
Un amperímetro es un medidor de corriente eléctrica. En base a
un galvanómetro, un amperímetro se forma conectando a éste un resistor, Rd ,
en paralelo, comúnmente con resistencia pequeña respecto a Rg .
Ver ilustración.

Figura 47. Diagrama eléctrico de un amperímetro.
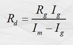
Rd, también conocida como resistencia derivadora
o “ shunt” evita que la
corriente en la bobina del galvanómetro exceda de Ig
, es proporcional a Rg y se puede calcular con expresión:

Donde Im es la corriente a
medir a plena escala. La ecuación anterior se deduce del circuito de la figura
del voltímetro como sigue:

Por estar Rg y Rd en paralelo

Y para el nodo “a” del circuito

Sustituyendo 2 y 3 en 1,
nos queda:

Nota: Rd es una resistencia
que depende de las características del galvanómetro y la corriente a medir.
Nota: Al medir, los amperímetros se conectan en serie
con el elemento del que se quiere conocer la corriente que lo atraviesa.