Características del Sonido
|
Actividad de Aprendizaje: |
Ilustra los aspectos más
relevantes del sonido en sólidos, líquidos y gases. |
El movimiento ondulatorio sonoro, también
conocido como sonido, es un conjunto de ondas longitudinales generadas en un
medio elástico que puede ser sólido, líquido o gaseoso; medio en el que se
propagan. Las ondas se generan al comprimir y liberar los medios mencionados,
produciendo ondas fundamentales o compuestas de frecuencia mayor o igual a 20
Hz y menor o igual a 20 kHz. ( 20
Hz £ f £ 20
kHz). Se denominan sonoras o audibles porque las puede percibir el oído humano.
Velocidad de las Ondas Sonoras:
Las ondas sonoras poseen entre otras
características velocidad, la que se ha comprobado es función de la elasticidad
del medio y su densidad, resultando mayor en los sólidos que en los líquidos y
mayor en estos últimos que en los gases. Las ondas sonoras no se transmiten en
el vacío, debido a la carencia en este espacio
de medio elástico. Se ha comprobado que la velocidad del sonido en el
acero es 5000 m/s; mientras que en el agua es de 1450 m/s y en el aire 331 m/s
en condiciones normales de temperatura y
presión atmosférica (273K y 101300 Pa).
A continuación, aparece un conjunto de
ecuaciones para calcular la velocidad del sonido en medios diferentes.
Para sólidos:

Donde “vs “ es
la velocidad o rapidez de la onda en un sólido, en m/s ; “Y”, el módulo de
Young, en Pa y
“r”, la
densidad del sólido, en kg /m3 .
Para líquidos:

Para gases:

Donde “g” es una constante que se indica en la
razón siguiente:

Esta constante vale aproximadamente 1.67
para gases monoatómicos y 1.4 para el aire y gases biatómicos; p es la presión
del gas en Pa; y r la densidad del gas ,
en kg /m3 .
Estos modelos se pueden deducir aplicando
el teorema de la conservación de la cantidad de movimiento, tal como se hizo
para la velocidad de una onda transversal en una cuerda.
Ondas Sonoras en la Atmosfera:
Cuando hablamos, es la atmósfera la que nos
sirve de medio para la transmisión de nuestras palabras; se puede demostrar que
al presionar una membrana en la atmósfera y hacerla vibrar, el gas de que está
compuesta la atmósfera presenta un conjunto de compresiones de partículas y
rarefacciones de las mismas, moviéndose en vaivén, que hacen que se transmitan, a lo largo de líneas radiales, ondas
longitudinales.
Como ondas de frecuencia o frecuencias
constantes, el sonido se propaga con rapidez constante dentro de un medio más o
menos homogéneo de temperatura y presión constantes, como en la atmósfera de
cierto lugar en

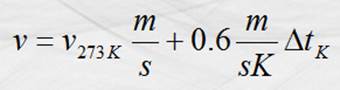
La ecuación aplicada se representa como
sigue:

En la que “v273K “ es la rapidez a 273 K (

También se ha comprobado que el aumento de
la rapidez de un sonido responde directamente a la variación de la temperatura
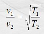
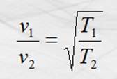
absoluta del medio, esto es expresado en la ecuación siguiente:

En la que v1 y v2 son
las rapideces de la onda a las temperaturas absolutas T1 y T2
respectivamente.
Hagamos un ejercicio con el fin de
practicar con las dos ecuaciones.
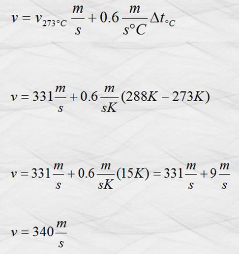
Un tono de 400Hz se transmite a las 6 de la
mañana para anunciar el inicio de actividades en una fábrica. Calcule el tiempo
en que escucha el tono un obrero que vive a un kilómetro de la fábrica, si la
temperatura es de 278 K y cuantas longitudes de onda ha emitido la fuente antes
de que el obrero la escuche.
Desarrollo:
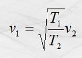
Para contestar la pregunta primera, se
calcula la rapidez de propagación de la onda de la manera siguiente:

Despejando v1

Sustituyendo datos.

También se puede calcular con:

Como el movimiento de la onda es rectilíneo
uniforme,

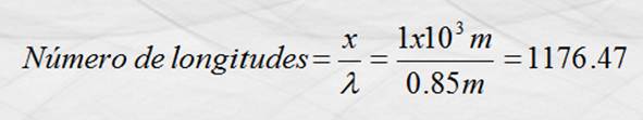
Para la segunda pregunta, conocemos el
tamaño de la longitud de onda usando la ecuación siguiente:

Para que el sonido alcance el oído del obrero, la fuente ha
emitido tantas longitudes de onda como la división entre la distancia de
separación y la longitud de la onda, por lo que:

Frecuencia y Tono:
Los sonidos tienen frecuencia y tono.
Un sonido puede tener una sola frecuencia,
digamos 1000 Hz, semejante a la que se escucha en el auricular de un teléfono
cuando se descuelga o a la que emite un diapasón al perturbarlo. También puede
estar formado de un conjunto de frecuencias mezcladas, como las que se emiten
cuando hablamos.
La frecuencia es una característica
objetiva del sonido, lo que significa que se puede medir, se simboliza con una
f y su unidad es el Hertz, abreviado Hz.
A la frecuencia corresponde una
característica subjetiva (no medible) del sonido llamada tono. El tono por
clasificación puede se agudo o grave. Agudo es el de una frecuencia alta,
digamos 10 000 Hz; y grave si es el de una frecuencia baja, digamos 300 Hz. El
tono por ser una característica subjetiva no posee una división definida entre
los sonidos graves y los agudos; es decir, si a dos personas se les pide
distingan el tono de un sonido, posiblemente una diga que se trata de un sonido
agudo y la otra de uno grave; aunque pudieran coincidir.
Como ya dijimos, las frecuencias audibles
van de


Figura 84. El tono de un sonido depende de su frecuencia.
Ve con atención el video siguiente:
|
Crestomatía: Segmento tomado de la serie "El Mundo de los
Sentidos", producida por: BBC 2008. |