Nivel de Intensidad Sonora
|
Actividad de Aprendizaje: |
Desarrolla el concepto de
nivel de intensidad sonora a partir de la gran capacidad del oído humano para
percibir intensidades sonoras. |
Los sonidos tienen intensidad, ésta se mide
en W/m2 para el S. I., aunque es común usar la unidad mW/cm2, por lo que la expresión
para calcular la intensidad de un sonido
es:

Donde P es la potencia de la onda, en Watt;
y A el área transversal a la propagación de la onda, en m2.
Otra expresión que ya establecimos es:

en función de las características del medio
en que se propaga; donde: f es la frecuencia en Hz; A, la amplitud de la onda,
en m; r, la
densidad lineal del medio en kg/m ; y v, la rapidez de la onda en m/s.
La intensidad al ser medible corresponde
con las cantidades objetivas del sonido y para referir los valores, se ha
establecido como valor mínimo de intensidad el de 1 x 10-12 W/m2 (1 x 10-16 W/cm2
) denominado umbral de audición , que es semejante a la intensidad de
sonido que produce la hoja de un libro al voltearla: Intensidad mínima que
puede escuchar el oído humano.
Al estudiar ondas sonoras es común hablar
del oído, ya que este es el sentido humano vinculado con la información sonora
que queremos conocer.
Tanto está vinculado el sistema auditivo
con el sonido que se ha establecido, a través de encuestas, que el oído humano
promedio no es capaz de soportar una intensidad sonora arriba de 1 W/ m2 (1 x 10-4 W/cm2)
la que se denomina umbral del dolor o umbral de la sensación desagradable.
A
continuación se muestra el resultado de las encuestas citadas.

Figura 85. Audiograma humano.
Como se nota, las frecuencias que se
escuchan a intensidades menores son de
Si relacionamos los umbrales a través de
una razón aritmética, nos encontramos que el oído humano tiene una capacidad de
escuchar un billón de intensidades sonoras.

Por la capacidad tan grande del oído y por
tanto la dificultad para diferenciarlas, se ha propuesto en lugar de un valor
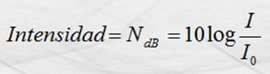
absoluto, un nivel ( N ) con una unidad más práctica
para medirlo, denominada deciBell, que se define de
la manera siguiente:

Donde I es la intensidad del sonido en W/m2,
I0 la intensidad de la
referencia, en este caso
y
el nivel expresado en deciBells, abreviado dB. Como
se nota, esta unidad no es física ya que no posee unidades físicas, si no es un
número que indica nivel de intensidad.
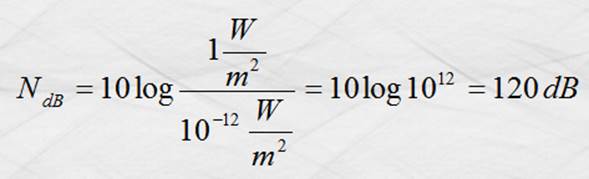
Los niveles de intensidad límites, en db, se determinan de
la manera siguiente:
Para el Umbral de Audición:

Para el Umbral del Dolor:

Ejemplo.
Calcule la intensidad de una onda, referida
al umbral de audición, si tiene un nivel de 50 dB.
Datos:
N = 50 dB
I0 = 10-12 W/m2
De la definición de nivel de intensidad

despejemos I y calculémosla.

Sonoridad
A la intensidad del sonido corresponde una
característica subjetiva denominada sonoridad. La sonoridad es fuerte, para una
intensidad grande (un grito) y débil para intensidades pequeñas (un susurro); y
como es una característica subjetiva, una sonoridad puede prestarse a discusión
entre dos personas que la escuchen.


Figura 86. La sonoridad de una onda depende de su amplitud.
Forma de Onda y Timbre
La tercera característica objetiva de una
onda es la forma de onda y tiene como característica subjetiva similar al
timbre.
A través del conocimiento de cualquiera de
estas dos características sabemos de la naturaleza de la fuente emisora de un
sonido complejo, como el emitido por las cuerdas, membranas o columnas de aire.
Cuando hacemos vibrar una cuerda, golpeamos
la membrana de un tambor, soplamos por la boquilla de un flauta o hablamos, no
emitimos una frecuencia única; el sonido emitido va compuesto de un conjunto de
frecuencias mezcladas de intensidades
diferentes , esto hace que nuestro oído pueda distinguir subjetivamente la
fuente sonora.
Aunque un sonido tiene diversas frecuencias a intensidades
diferentes, hay una frecuencia que posee la mayor intensidad que se denomina
“frecuencia fundamental”. Esta frecuencia es el punto de partida para conocer
los valores de las frecuencias “sobretono”, que pueden
ser armónicas o no y acompañan a la frecuencia fundamental, llamada también
primera armónica, para producir un sonido particular.
Una frecuencia armónica es una frecuencia múltiplo de la fundamental o primera armónica; así, la segunda armónica tiene una
frecuencia 2 veces la de la fundamental; la tercera tres y así sucesivamente.
Por lo que respecta a la forma de onda
emitida por cualquiera de los instrumentos citados, es capturada por un sensor,
introducida en un analizador de espectros, procesada e indicada en una pantalla
en la que se conoce cuantas frecuencias la forman y cuales son las intensidades
de cada onda. Como la pantalla del analizador indica tanto las frecuencias como
las intensidades de las ondas mezcladas por comparación de espectros podemos
conocer objetivamente la fuente sonora.
La figura siguiente muestra el espectro de
algunos instrumentos al emitir una nota, espectro compuesto por la frecuencia
fundamental y los sobretonos.

Figura 87. Espectro de algunos instrumentos al emitir una nota.