Efecto Doppler
|
Actividad de Aprendizaje: |
Interpreta la variación en frecuencia
producto del efecto Doppler. |
El Efecto Doppler
es el surgimiento de una onda causada por el movimiento relativo entre una
fuente sonora y un observador, esta onda tiene una frecuencia denominada
frecuencia aparente, fa y es debida a que la velocidad del sonido y
la relativa mencionada se pueden sumar algebraicamente, causando un
alargamiento o contracción de la longitud de onda.
El Efecto Doppler
lo hemos experimentado cuando al acercarse a nosotros una ambulancia, que emite
un sonido de cierta frecuencia, escuchamos un tono y al alejarse notamos que el
sonido cambia de tono e incluso se escucha grave respecto al primero.
Doppler descubrió que cuando se tiene una
velocidad relativa pequeña entre un observador y una fuente sonora, el
observador detectará una onda cuya frecuencia, diferente a la de la fuente,
depende del valor de la velocidad relativa entre los dos.
La frecuencia de una onda aumenta si la fuente y el observador se acercan y
se reduce si se alejan. Alguno de los dos puede estar en reposo, no es necesario que los dos se
muevan, aunque puede darse el caso.
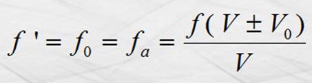
Doppler dedujo la ecuación siguiente con la que se
puede calcular la frecuencia de la nueva onda, la que se denomina frecuencia
aparente, abreviada f0, fa
y f ‘.

En la que f ‘es la frecuencia aparente o
frecuencia que detecta el observador, V, la velocidad del sonido; f, la
frecuencia de la fuente;, Vf, la rapidez
de la fuente ; y V0 la velocidad del observador.
Esta ecuación puede modificarse para cuando
se mueve solo el observador, quedando como sigue:

Considerando a V0 positiva si el
observador se acerca y negativa si se aleja. Ilustración a continuación.

Figura 88. Efecto Doppler con observador en reposo.
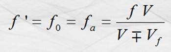
O puede modificarse para cuando solo se
mueve la fuente, quedando como sigue:

Siendo Vf
positiva si la fuente se aleja y negativa si la fuente se acerca al observador.

Figura 89. Efecto Doppler con fuente sonora en reposo.
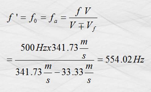
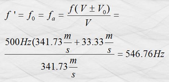
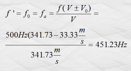
Hagamos un ejercicio de aplicación.
Una ambulancia se acerca a un observador en
reposo , emitiendo un sonido de frecuencia 500Hz, a una velocidad de 120km/h
cuando la temperatura del ambiente es 291K , calcule la frecuencia aparente
escuchada por el observador al acercarse la ambulancia y al alejarse.
Resolución.
Como la velocidad de la fuente, ambulancia,
no está en unidades del S. I., lo primero que haremos es la conversión siguiente:

La velocidad del sonido la desconocemos a
291 K por lo que la referiremos a 331 m/s a 273 K, de modo que aplicando la
ecuación correspondiente tenemos:

Ahora, si apliquemos la ecuación del efecto
Doppler correspondiente a cuando la fuente se acerca.

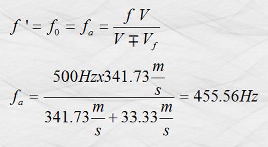
Ahora cuando se aleja.

Ampliemos el ejercicio deteniendo la
ambulancia y haciendo que el observador se acerque a ella en un automóvil a
Cuando se acerca el observador:

Para cuando se aleja:
