Características de la Luz
|
Actividad de Aprendizaje: |
Examina la naturaleza de la
luz y sus principales características. |
¿Qué es la luz?
Antes de intentar contestar esta pregunta, comentemos algunos de
los fenómenos asociados con ella.
La luz permite que veamos nuestro derredor, este fenómeno está
asociado con la reflexión de la luz.
La luz generada por cuerpos calientes o iluminados, puede ser
mono o policroma. La luz proveniente del Sol se denomina luz blanca y está
compuesta de seis colores, es policroma.
Debido al fenómeno de absorción de la luz, podemos ver los
colores diferentes de los cuerpos iluminados con luz blanca.
La refracción de la luz engaña al sentido de la vista,
mostrándole objetos que no están en el lugar que se ven, como en el caso de los
espejismos.
La difusión de la luz al reflejarse en superficies rugosas,
provoca deformación de las imágenes.
Los cuerpos opacos al ser iluminados pueden causar obscuridad en
algunos espacios, tal caso es el de las sombras y otro el de los eclipses, esto
es causado por la propagación, aparentemente rectilínea de la luz.
La luz es capaz, bajo ciertas circunstancias, de rodear algunos
cuerpos opacos y continuar transmitiéndose detrás de ellos, esto se presenta
cuando al pasar un flujo luminoso por un cuerpo con ranuras, cada ranura se puede comportar como
una fuente de luz nueva.
Al iluminar una superficie
con dos fuentes luminosas cercanas, podemos tener áreas en la superficie
muy iluminadas y áreas oscuras en la misma, esto es debido a la interferencia
de las ondas luminosas, es decir las ondas son capaces de sumarse o restarse
cuando inciden simultáneamente en un espacio.
La luz se polariza, entendiendo con esto, que al hacer pasar luz
a través de un conjunto de ciertos cuerpos transparentes, tales como sal de
Róchela, turmalina o calcita, llamados polarizadores, se puede anular o evitar
parcialmente su paso. Tal fenómeno se aplica en los lentes polarizados, útiles
para proteger la vista de los rayos solares.
La luz puede ampliar imágenes. Al formar la imagen de un objeto
con espejos cóncavos o lentes convergentes y con espejos parabólicos y
cilíndricos cóncavos, la imagen puede hacerse más grande que el objeto.
La luz puede hacerse coherente o transmitirse sin que el haz se
difunda o abra, éste fenómeno es una
propiedad de los rayos L. A. S. E. R. (Light Amplification
by Stimulated Emission of Radiation).
La luz policroma se dispersa al hacerla pasar oblicuamente a
través de un prisma triangular de cristal, mostrándonos las luces diferentes
que la componen, esto se debe a que las luces de colores tienen una longitud de
onda diferente y su desviación al entrar en el prisma es distinta.
La luz proveniente del Sol está compuesta de un conjunto de
luces monocromáticas, que reunidas dan lugar a lo que llamamos luz blanca. La
luz blanca al hacerla pasar por un prisma triangular de cristal se dispersa,
mostrando una composición de luces denominada “arco iris”, en el mismo prisma
se puede efectuar el fenómeno inverso de la dispersión, haciendo pasar un arco
iris por el prisma citado y obteniendo una luz blanca del otro lado.
Las aplicaciones de los fenómenos luminosos son innumerables,
aquí citamos algunas:
a)
Iluminación adecuada en
espacios oscuros como quirófanos, auditorios, túneles, estudios, etc.
b)
Construcción de fuentes
luminosas más eficientes.
c)
Lentes para anteojos,
microscopios, telescopios, proyectores, sistemas de lentes para los mismos
dispositivos, etc.
d)
Transmisión de ondas
electromagnéticas en cables ópticos.
e)
Laser y sus aplicaciones:
Señalización, polarización, automatización , etc.
Teorías de la Naturaleza de
la Luz
I.- Naturaleza Corpuscular de
la luz
La luz es estudiada desde los griegos y entre ellos hubo la
suposición de que la luz era emitida en forma de corpúsculos desde los ojos de
un observador. La luz, así emitida, al
chocar con los objetos en derredor y regresar, excitaban la retina del
observador, percibiendo de esta forma
dichos objetos.
Otra teoría, también corpuscular, suponía que la luz estaba
formada por partículas pequeñísimas procedentes de cuerpos luminosos como el
Sol,
Como por todos es conocido, el avance del conocimiento se
estanco en la edad media y es en el renacimiento cuando de nuevo se estudia
formalmente, la naturaleza de la luz.
Con base en observaciones de la propagación rectilínea de la
luz, las sombras que forman detrás de cuerpos opacos iluminados, la reflexión y
refracción de la luz, Newton propuso su teoría corpuscular.
Su teoría se basa en:
La luz es de naturaleza corpuscular y está formada por
corpúsculos que viajan a velocidades enormes, procedentes de una fuente
luminosa. Es de naturaleza corpuscular porque las partículas que la forman al
encontrar un cuerpo opaco en su trayectoria no logran atravesarlo, no lo hacen
vibrar o no lo rodean para continuar propagándose, estas carencias de los
corpúsculos se confirman con la sombra que forman detrás de un cuerpo opaco
cuando es iluminado.
La luz es de carácter corpuscular, porque los corpúsculos que
forman un rayo de luz rebotan, semejante a las partículas, cuando chocan con
una superficie. Si se mide el ángulo de incidencia, respecto a

Figura 90. Naturaleza corpuscular de la luz (reflexión).
La luz es de naturaleza corpuscular porque cuando en su
propagación, en un medio, pasa otro,
cambia su velocidad; de manera semejante a cuando un cuerpo moviéndose en un
plano horizontal encuentra una pendiente. En el caso del rayo luminoso se refracta,
acercándose a

Figura 91. Naturaleza corpuscular de la luz (refracción).
Al intentar demostrar la refracción de la luz, con su teoría,
Newton no fue lo suficientemente convincente. Otros de los fenómenos que no
pudo explicar; en aquel tiempo, la teoría corpuscular fueron: La difracción de
la luz descubierta por Grimaldi; el fenómeno conjunto Reflexión-Refracción; y
Según Grimaldi, si se hace pasar un haz de luz por un orificio
pequeño, practicado en una pantalla y a cierta distancia de esta pantalla se
recoge el rayo en otra, se observará un conjunto de círculos concéntricos
claros y oscuros de radios diferentes, lo que indica que la luz rodeo el
orificio expandiéndose.

Figura 92. Naturaleza ondulatoria de la luz (difracción).
El fenómeno de reflexión-refracción consiste en hacer incidir,
oblicuamente un rayo de luz en el aire sobre una superficie de un material
transparente; como resultado se nota que parte del rayo se refleja y parte se
refracta, forma en que no se comportan los corpúsculos. La ilustración aparece
a continuación:

Figura 93. Naturaleza ondulatoria de la luz (reflexión y refracción).
El fenómeno de interferencia de la luz consiste en hacer incidir
dos fuentes luminosas adecuadamente
sobre una superficie, dando como resultado un cuadriculado en el que aparecen
áreas iluminadas y áreas oscuras; significando con esto una suma y resta de ondas, en fase las
primeras y fuera de fase las segundas.
Por las incoherencias citadas, entre los fenómenos y la teoría
corpuscular, Chistian Huygens propuso una teoría
ondulatoria de la luz.
II.- Naturaleza Ondulatoria de
la Luz
Según Huygens, la luz puede bordear los obstáculos para
continuar propagándose, de modo que no viaja en línea recta, este fenómeno de
difracción se nota mejor cuando el obstáculo es pequeño de magnitud semejante a
la longitud de onda de la onda luminosa.
La luz es de naturaleza ondulatoria porque su propagación es
semejante a la propagación de una onda producida en un estanque, es decir
transversal.
La luz es una onda luminosa porque se refleja de manera parecida
a las ondas mecánicas, cumpliendo con las leyes de la reflexión.
La luz es de naturaleza ondulatoria porque cuando se refracta,
al pasar del vacío a cualquier otro medio, disminuye su rapidez, haciendo que
el ángulo de refracción sea menor que el de incidencia, esto se nota al
acercarse el rayo refractado a la normal.
La luz es de naturaleza ondulatoria y al propagarse lo hace en
todas direcciones, generando frentes de onda esféricos. Los frentes de onda son
formados por una curva tangente a las ondas
secundarias generadas en el frente anterior, el radio de las ondas
secundarias se obtiene de dividir la velocidad de propagación de la onda entre el período de la misma. A continuación
se ilustra la propagación.

Figura 94. Frentes de onda en la luz.
La teoría ondulatoria de la luz prevaleció por mucho tiempo,
aunque no explicaba la emisión de los cuerpos luminosos y su propagación en el
vacío; para ésta última se propuso que el vacío contenía una sustancia que
ayudaba a la propagación denominad “Éter” a través de la que nos llegaba la luz
de las estrellas, incluyendo la del sol, tampoco pudo explicar el fenómeno de
la sombra producida detrás de un cuerpo opaco al iluminarlo.
Un experimento que dio fuerte apoyo a la teoría ondulatoria de
la luz fue el ejecutado por León Foucault. Cuando intentaba medir la velocidad
de luz en el aire, se le ocurrió medirla en el agua, encontrando un valor mucho
menor que para el vacío, contrario a lo que afirmaba la teoría corpuscular (la
luz se mueve mas rápido en los líquidos que en el vacío).
Por otro lado, contraviniendo a la teoría ondulatoria de la luz,
los científicos Michelson y Morley
realizaron un experimento con el que demostraron la inexistencia del “éter”.
III.- La Luz es una Onda
Electromagnética
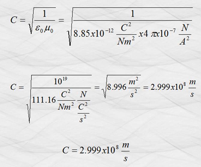
En el siglo XIX, Clark James Maxwell, científico escocés,
apoyado en la teoría ondulatoria,
propuso que la luz estaba compuesta por ondas Electromagnéticas cuyas frecuencias estaban en el rango de 1014
Hz y su rango de longitud de onda era de

Donde C es la velocidad de la luz; e ,
la permitividad absoluta del medio; y m, la permeabilidad absoluta del medio.
Aplicada la ecuación para el aire o vacío tenemos:

IV.- La Luz es Cuántica
El científico Max Plank, en su estudio
de la luz, propuso que ésta no se emite en forma continua sino por paquetes de
energía, a los que denomino “cuantos”. Estos “cuantos” poseen una energía
proporcional a la frecuencia de una onda luminosa; es decir los cuantos de luz
roja, la de menor frecuencia del espectro visible, tienen menos energía que los
cuantos de rayos de cualquier otro color. La energía de los “cuantos” se puede
calcular con la expresión:

Ecuación en la que “f”
representa la frecuencia de la onda luminosa y “h” una constante,
llamada constante de Plank, de valor:

Aplicando esta ecuación para calcular la energía de la luz roja
y la violeta tenemos:

Uno de los fenómenos que se explican con esta teoría es el
efecto fotoeléctrico, cuya explicación le valió a Albert Einstein ganar el premio novel de Física en
1921.
Brevemente, el fenómeno consiste en iluminar una superficie
fotosensible con luz de cierta frecuencia, al hacerlo, se observa, por medio de
un galvanómetro, el desprendimiento de electrones que pueden conducirse en el
vacío a través de una diferencia de potencial, como se muestra en la figura
siguiente:

Figura 95. Efecto Doppler.
Aquí comienza a madurarse un concepto nuevo acerca de la
naturaleza de la luz, que conjuntaría Louis de Broglie que posteriormente se
denominó la teoría Onda- Partícula de la naturaleza de la luz.
V.- Naturaleza Dual de la Luz:
Onda-Partícula
Basado en algunos fenómenos como el Efecto Compton
y el Fotoeléctrico, Louis de Broglie propone que la luz tiene dos
características interesantes, cantidad de movimiento, cantidad correspondiente
a los corpúsculos y longitud de onda, propiedad de las ondas; ambas
relacionadas en la ecuación siguiente:

Con esto, de Broglie considera que cuando una partícula se mueve
en su derredor, envolviendo la trayectoria, lleva un
onda de una determinada longitud de onda, como se muestra a continuación:

Figura 96. Naturaleza dual de la Luz: Onda-Partícula.
Velocidad de la Luz
Cuando se pensó que la luz se propagaba, también se consideró
que lo hacia a una velocidad; al principio se propuso una velocidad infinita,
es decir que al instante de encender una fuente luminosa, la luz aparecía
simultáneamente en todo el Universo.
El científico Galileo Galilei al no aceptar el valor infinito
para la velocidad de la luz, ideó un experimento con objeto de medirla. Tal
experimento consistió en medir el tiempo en que la luz recorre una distancia,
de ida y vuelta, entre dos colinas separadas una milla. Considerando que la luz
se propagaba en línea recta con velocidad constante y que al dividir la
distancia entre el tiempo medido, se conocería el valor investigado. Realizado
el experimento, el resultado no fue fiable por los métodos tan rudimentarios
usados para medir el tiempo; ya que la luz recorre esa distancia en millonésimas
de segundo.

Figura 97. Experimento de Galileo Galilei para determinar la rapidez de la luz.
Un registro segundo que se hizo de la velocidad de la luz, lo
realizó Olaf Roemer, astrónomo danés, que al estudiar los eclipses de dos satélites
naturales de Júpiter encontró que los tiempos de dichos eclipses no eran
constantes, medidos de diferentes puntos de la órbita de

Figura 98. Rapidez de la luz determinada por Olaf Roemer.
Con el valor obtenido por Roemer,
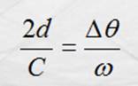
Louis Fizeau realizó un experimento nuevo para medir
la velocidad de la luz. Este consistió en hacer pasar un rayo de luz por un entre
diente de una rueda dentada girando en movimiento circular uniforme, dejar que
el rayo se propagara
Tiempo de la distancia
recorrida: Tiempo del desplazamiento angular:
Igualando los tiempos:

Despejando C:


Figura 99. Rapidez de la luz determinada por Louis Fizeau.
Así Fizeau encontró que C = 3.153 x 108
m/s; un valor muy aproximado comparado con mediciones recientes, más
sofisticadas.
Corresponde a León Foucault modificar ligeramente el experimento
de Fizeau cambiando la rueda dentada por un espejo
octogonal, obteniendo como velocidad de la luz:
C = 2.98 x 108
m/s

Figura 100. Rapidez de la luz determinada por León Foucault.
Albert Michelson es el científico
siguiente en obtener, a fines del siglo XIX, un registro de la velocidad de la
luz más veraz, usando también un espejo octogonal pero una distancia
mayor,
C = 2.99910 x 108
m/s
Se realizaron otros intentos durante el siglo XX en países
avanzados como Estados Unidos de América, Inglaterra y Suecia usando métodos
diferentes, incluyen rayos laser obteniéndose un valor más aproximado de:
C = 2.9979245 x 108
m/s
En la práctica, para resolver problemas, usamos un valor de:
C = 3 x 108 m/s
Ve con atención el video siguiente:
|
Crestomatía: Segmento tomado de la serie "Tecnología y Comunicación Educativas",
producida por: Televisión Española (TVE), 1997. |