Iluminación
|
Actividad de Aprendizaje: |
Relaciona los términos Flujo luminoso, Intensidad luminosa e
Iluminación. |
Flujo Luminoso
Las fuentes de luz poseen energía
proveniente de otro tipo de energía como la generación de helio en el son
proveniente de la fusión nuclear de isótopos de hidrógeno; el paso de corriente
eléctrica por el filamento de tungsteno de una lámpara eléctrica incandescente;
la combustión de gas licuado en una estufa; la producción de ondas
electromagnéticas ultravioleta en una lámpara fluorescente cuando se efectúa
una descarga en una mezcla de argón, de mercurio, etc.
La mayoría de las fuentes de luz son muy
poco eficientes, como convertidoras de un tipo de
energía a energía luminosa; es decir, de la energía que consumen para producir
luz, sólo una cantidad pequeña la convierten en ondas electromagnéticas del
orden de frecuencias de 1014 Hz; la mayor parte de la energía
perdida se convierte en calor, que como bien sabemos está formada de ondas
electromagnéticas de frecuencias mucho menores que las citadas. A la energía
luminosa entre unidad de tiempo la llamamos potencia radiante o flujo luminoso.
Al flujo radiante capaz de impresionar la
retina del ojo humano le llamamos flujo luminoso, simbolizado
“F” y el lumen es su unidad en el S. I. abreviado “lm”.
La sensación visual producida por el flujo
luminoso, tiene tres características: Matiz, saturación y brillo.
Aquí sólo estudiaremos el brillo y lo
definiremos como la característica que permite comparar la luminosidad
diferente producida por cantidades iguales de flujo luminoso de luces de
colores diferentes. Ejemplo, una lámpara verde, emitiendo un flujo luminoso de
cierta cantidad, es más brillante que una lámpara roja o una violeta emitiendo
el mismo flujo. Se considera que el blanco tiene un brillo máximo y el negro
mínimo.
Hablando estrictamente, el watt es, en el
Sistema Internacional de Unidades, la unidad de flujo luminoso; pero el watt es
una unidad muy grande para medir flujos luminosos y no indica nada de la
brillantez de una fuente, por lo que se propone como unidad de flujo luminoso
al lumen dando la definición siguiente:
Un lumen
es el flujo luminoso procedente de un sesentavo de centímetro cuadrado de
abertura de un manantial patrón y comprendido dentro de un ángulo sólido de un sterradián.
El manantial patrón de la definición es un
tubo cilíndrico de Torio ensanchado en un extremo, rodeado de platino puro a
temperatura de fusión. El platino fundido, al pasar a través del tubo de torio
emite un flujo luminoso constante, cuya unidad depende de la magnitud de la
abertura ( 1 cm2 / 60 ) y del tamaño del
ángulo de radiación o ángulo sólido (sterradián).

Figura 101. Esquema que ilustra la definición de lumen.
Por otra parte, como el flujo luminoso se radia
en tres dimensiones, en la definición se cita un ángulo sólido de un sterradián.
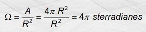
Definiremos al sterradián de manera
semejante a como definimos a la unidad de ángulo plano, radián , para el S. I.
, como el ángulo subtendido por un conjunto de rectas que parten del centro de
una esfera sólida de radio “r”, en metros, y entre todas cubren un área en la
superficie de la esfera de r2 metros cuadrados. A continuación la
ilustración de la definición:

Figura 102. Definición de sterradián.
Al igual que un ángulo plano, en una vuelta
no puede ser mayor que 2p radianes, el ángulo sólido no puede ser
mayor que 4 p sterradianes,
pero si menor y para su cálculo, se dividirá
el área que cubre el ángulo sólido entre el radio al cuadrado de la
esfera que lo genera. El ángulo sólido tiene como símbolo una omega mayúscula, W,
y de acuerdo con su definición, matemáticamente se tiene:

El ángulo sólido no puede ser mayor a 4 p Sterradianes y es el resultado de dividir
el área de una esfera entre su radio al cuadrado, como se muestra a
continuación:

Otra definición de lumen es: “La potencia
de un flujo luminoso igual a un seiscientos ochentavo de watt (1 W/680) de una
luz verde-amarilla de 555 nm (555 x 10 -9 m) de longitud de onda.

Esta otra definición está basada en que la
luz verde-amarilla es la más brillante para el ojo humano y se ha medido que un
Watt de flujo luminoso de esta luz produce 680 lúmenes, mientras que para luces
de otros colores, hacia el rojo o hacia el violeta solo producen un porcentaje
de este valor de potencia, como lo muestra la gráfica a continuación:

Figura 103. Sensibilidad del ojo humano a la luz blanca.
Por lo que si se quiere conocer el flujo
luminoso de una fuente luminosa, habrá que consultarse la gráfica anterior de la respuesta del ojo a la
brillantez.
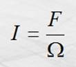
Intensidad Luminosa
Las fuentes luminosas poseen intensidad
luminosa y serán físicamente más intensas si pueden proporcionar un flujo más
grande a un espacio por ángulo sólido.
La intensidad de una fuente se define como
el flujo emitido por unidad de ángulo sólido. Esto expresado en símbolos es:

Donde F es el flujo en lumen; W el ángulo sólido en sterradianes e I la intensidad
luminosa en candelas, cd, en el S.I.
Iluminación
Los cuerpos luminosos al emitir un flujo,
iluminan a los cuerpos en su derredor y esto al ser iluminados adquieren la
propiedad de iluminar a otros; como el Sol y la Luna que iluminan a

La unidad de iluminación en el S. I. es el lux, abreviado lx, cuya equivalencia
según la definición es el lm/m2.

Figura 104. Iluminación normal en una superficie.
Si un flujo no incide normal a un área,
sino oblicuamente, la iluminación en el área incidente se reduce y es función
del coseno del ángulo “i”, que forma el flujo luminoso y la normal al área.
Expresado en símbolos:

Figura 105. Iluminación oblicua en una superficie.
Algunas veces, es conveniente expresar la
iluminación en función de la intensidad de la fuente, porque haciéndolo así ,
podemos, entre otras cosas, establecer el principio de la fotometría; que es la
base de los fotómetros y a la vez una forma de conocer la magnitud de la
intensidad de una fuente desconocida.
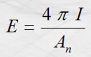
Iluminación de una Fuente Isotrópica
Si queremos conocer la iluminación que
produce una fuente isotrópica, calculamos primero el flujo luminoso total de la
misma. Lo podemos calcular, despejándolo de la ecuación:

Despejando el flujo
![]()
Y como la fuente ilumina toda el área a su
derredor, iluminará un ángulo sólido de 4p sterradianes.
Sustituyendo tenemos:

Por ultimo sustituyendo en la ecuación de
la iluminación:

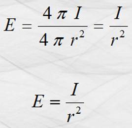
Y como el área iluminada es el área normal
de una esfera de cualquier radio,
,
de modo que sustituyéndola en la anterior ecuación:

De igual forma, si el flujo es oblicuo a el área, la iluminación se multiplica por el coseno de i

Principio de la Fotometría
La intensidad de dos fuentes luminosas
produciendo igual iluminación en una pantalla son proporcionales a los
cuadrados de sus distancias a la pantalla, simbólicamente tenemos:

En base a esta ecuación, se construyen los
fotómetros que pueden determinar la intensidad luminosa de una fuente
utilizando una fuente patrón.

Figura 106. Principio de la fotometría.